+7 (800) 505-63-73
Пн - Пт: с 09:00 до 18:00
Пн - Пт: с 09:00 до 18:00
+7 (800) 505-63-73
Линейная решетка скрытого монтажа VLLS-S со съемным полотном
Линейная решетка скрытого монтажа VLLS-S со съемным полотном
Линейная решетка скрытого монтажа VLLS-S со съемным полотном
Линейная решетка скрытого монтажа VLLS-S со съемным полотном
Линейная решетка скрытого монтажа VLLS-S со съемным полотном

Линейная решетка скрытого монтажа VLLS-S со съемным полотном

0
Нет отзывов
Артикул: 4123
Поделиться списком
Ширина (мм)
X
Высота (мм)
Секция:
F1
F2
E1
E2
M
Наличие фильтра:
Фильтр
БЕЗ ДОПОЛНИТЕЛЬНОЙ КОМПЛЕКТАЦИИ
Цвет по RAL: RAL 9016
RAL 9016
Без покраски
RAL по факту
Выбрать другой цвет
Характеристики
Производитель ООО "ЗАВОД ВРК"
Серия решетки VENTLINE
Регулировка Нерегулируемая
Бренд THE GRILLES
Форма Прямоугольные
Материал Алюминий
Конструкция Разборная
Предоплата 100%
КЖС 0.49
Количество щелей Y-образные ламели
Все характеристики
2 177
В корзину
Быстрый подбор в Telegram
Наш технический специалист поможет выбрать идеальную конфигурацию
Собственное производство
До 1000 выпускаемых единиц в день
Быстрая доставка по России

Линейная решетка скрытого монтажа VLLS-S со съемным полотном

 

Назначение: приток / вытяжка.

Место установки: жилые, торговые, и офисные помещения.

Этап отделки: предчистовая отделка, когда вентиляционная система уже смонтирована, стены/потолок обшиты гипсокартоном, проем под решетку подготовлен, но финишная отделка (шпаклевка, покраска) еще не выполнена.

Дополнительные функции: фильтр для очистки приточного воздуха.

Особенности конструкции:

  • рамка имеет полку под шпаклевку 2,3 мм и углубления на фланце со специальной формой паза для лучшего сцепления шпаклевки и исключения ее отслоения;
  • узкие ламели шириной 5,5 мм, образующие ровные щели шириной 10 мм;
  • съемное ламельное полотно;
  • любой размер с шагом 1 мм (минимальный – 200х75 мм, максимальный –  2000х500 мм);
  • решетки со съемным полотном VLLS-S могут комплектоваться фильтром по запросу;
  • минимальный запас запотолочного монтажного пространства - 110 мм;
  • присоединение к воздуховодам 100, 125, 160, 200 мм, 204х55 мм, 110х55 мм, а так же системы BLAUFAST;
  • возможна модульная сборка в непрерывную линию из составных секций, в том числе угловых.

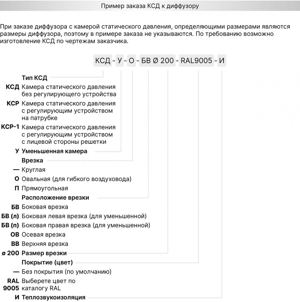
Для подключения диффузоров к системе вентиляции и кондиционирования используется камера статического давления (КСД или КСР).
⚠ В комплект с решеткой не входит и заказывается отдельно.

КСД обеспечивает равномерное распределение воздушных масс через сечение решетки. КСД состоит из стального корпуса с круглым патрубком для подсоединения к воздуховоду. КСР дополнительно оснащены устройством, регулирующим объем подаваемого воздуха, которое устанавливается во входном патрубке.

Статическая камера изготавливается из оцинкованной листовой стали 0,4 - 1,5 мм в зависимости от размера и пожелания заказчика. По умолчанию все изделия поставляются в неокрашенном виде.

 

 

Типы КСД:

  • КСД - стандартная камера с круглой врезкой;
  • КСД-У - уменьшенная камера с круглой врезкой;
  • КСД-У-О - уменьшенная камера с овальной врезкой;
  • КСД-У-П - уменьшенная камера с прямоугольной врезкой.

Уменьшенная камера статического давления позволяет максимально сохранить полезную площадь помещения за счет уменьшения монтажного пространства.

Размер монтажного пространства (W) напрямую зависит от размера подключаемого воздуховода - чем меньше воздуховод, тем меньше адаптер для диффузора. В каталоге приведены рекомендуемые размеры воздуховода, но по запросу заказчика возможно изготовить адаптер с любой врезкой.

 

 

 

 

 

 

 

 

 

 

Характеристики

  • Производитель
    ООО "ЗАВОД ВРК"
  • Серия решетки
    VENTLINE
  • Регулировка
    Нерегулируемая
  • Бренд
    THE GRILLES
  • Форма
    Прямоугольные
  • Материал
    Алюминий
  • Конструкция
    Разборная
  • Предоплата
    100%
  • КЖС
    0.49
  • Количество щелей
    Y-образные ламели
Этот товар из подборок
Отзывы покупателей
Добавить отзыв
Помогите другим пользователям с выбором - будьте первым, кто поделится своим мнением об этом товаре
Фотографии и видео покупателей
Без оценки

Оплата:
 

Оплата заказа юридическими и физическими лицами осуществляется на основании счёта/договора.

Доставка осуществляется при условии 100% предоплаты товара.

 

Доставка по Москве:
 

  • при заказе от 50 000 руб. доставка по Москве бесплатная.
  • при заказе на сумму менее 50 000 руб.  доставка рассчитывается в зависимости от зоны Москвы. Для расчета точной стоимости доставки необходимо обратиться к менеджерам по тел.: 8 (495) 730-63-73, 8 (926) 075-34-87, 8 (800) 505-63-73 (бесплатно со всех номеров).
     

Доставка по России:
 

Доставка до транспортной компании бесплатная, далее за счет покупателя.

График бесплатной доставки в транспортные компании:

  • Понедельник — Деловые линии, ПЭК.
  • Среда — любая ТК.
  • Пятница — Деловые линии, ПЭК.
     

Самовывоз:
 

Склад находится по адресу: Московская область, городской округ Мытищи, посёлок Кардо-Лента, ул. Садовая, д. 19

Пн - Чт.: с 09:00 до 18:00. Пт.: с 09:00 до 17:00

Похожие товары
Решетка для скрытого монтажа с перфорированной пластиной G-Line-T
Решетка для скрытого монтажа с перфорированной пластиной G-Line-T
Арт. 000009
Щелевая решетка скрытого монтажа с перфорацией Airline-1
4
Щелевая решетка скрытого монтажа с перфорацией Airline-1
Арт. 002095
Решетка щелевая со съемными ламелями Airline-TS
Решетка щелевая со съемными ламелями Airline-TS
Арт. 000016
Линейная решетка скрытого монтажа со съемной частью G-Line-TS
Линейная решетка скрытого монтажа со съемной частью G-Line-TS
Арт. 000005
Линейная решетка скрытого монтажа VLL-S под шпаклевку
Линейная решетка скрытого монтажа VLL-S под шпаклевку
Арт. 000206
Щелевая решетка со съемным жалюзийным полотном Airline-LS
Щелевая решетка со съемным жалюзийным полотном Airline-LS
Арт. 000007
Безрамочный щелевой диффузор G-LOOK
Безрамочный щелевой диффузор G-LOOK
Арт. 002009
Щелевая решетка под шпаклевку со съемным сердечником G-Line-LS
Щелевая решетка под шпаклевку со съемным сердечником G-Line-LS
Рассчитать стоимость
Получите бесплатный расчет стоимости через 10 минут в Telegram
Оставьте номер телефона. В течение дня мы подготовим вам варианты реализации и расчет стоимости.
Нужна консультация?
Наши специалисты ответят на любой интересующий вопрос
Задать вопрос